Новости отрасли

Решения на основе циклодекстрина для повышения растворимости и стабильности

Решения на основе циклодекстрина для повышения растворимости и стабильности

Технический обзор гидроксипропилбетадекса и бетадекс-сульфобутилового эфира натрия

Циклодекстрины широко известны своей способностью улучшать растворимость и стабильность плохо растворимых или химически чувствительных соединений. Благодаря своей уникальной циклической молекулярной структуре циклодекстрины и их производные стали важными функциональными вспомогательными веществами в фармацевтической, химической и смежных областях рецептур. В ответ на растущие технические и нормативные требования компания Xi’an Deli Biochemical доработала техническую документацию и поддержку продукции для своих ключевых производных циклодекстрина:гидроксипропилбетадекс (HPBCD) и сульфобутиловый эфир бетадекса натрия (SBECD).


Структурные характеристики и функциональные характеристики циклодекстринов

Циклодекстрины представляют собой циклические олигосахариды, состоящие из остатков глюкозы, связанных α-1,4 гликозидными связями. Их молекулярная архитектура имеет гидрофильную внешнюю поверхность и относительно гидрофобную внутреннюю полость, что позволяет образовывать комплексы включения с широким спектром молекул-гостей. Химическая модификация структуры циклодекстрина может значительно улучшить растворимость в воде и расширить универсальность применения.


Гидроксипропилбетадекс (HPBCD)


Гидроксипропилбетадекс представляет собой химически модифицированный β-циклодекстрин, разработанный для преодоления ограниченной растворимости нативных циклодекстринов. Его повышенная растворимость в воде и хорошая совместимость делают HPBCD подходящим для применений, требующих эффективной растворимости, стабилизации и гибкости рецептуры в различных системах.


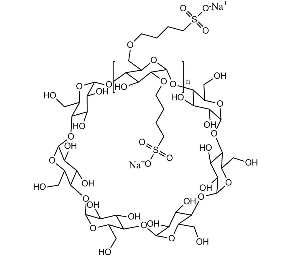
Бетадекс сульфобутиловый эфир натрия (SBECD)


Бетадекс сульфобутиловый эфир натрия представляет собой анионное производное циклодекстрина, характеризующееся сульфобутиловыми эфирными заместителями. Эта структура усиливает электростатические взаимодействия с конкретными соединениями, обеспечивая улучшенную растворимость, комплексную стабильность и надежность рецептуры в более требовательных приложениях.

Стандартизированная информация о продуктах и ​​техническая поддержка

Чтобы лучше поддерживать разработку рецептур, оценку качества и процессы закупок, компания Xi’an Deli Biochemical систематически обновляет информацию о продуктах HPBCD и SBECD, включая:


  • Четко определенные и стандартизированные характеристики продукта и аналитические параметры.
  • Сертификаты анализа (COA) для конкретной партии для обеспечения отслеживаемости и проверки качества.
  • Расширенные технические часто задаваемые вопросы, касающиеся обращения, хранения и типичных вопросов применения.
  • Оптимизированные описания продуктов, призванные облегчить эффективный технический анализ и выбор.


Эти улучшения призваны повысить прозрачность, сократить сроки оценки и обеспечить стабильную производительность продукта на протяжении всего цикла поставок.


Опыт производства и гарантия качества

Основанная в 1999 году компания Xi'an Deli Biochemical имеет 26-летний опыт производства производных циклодекстрина. Компания специализируется на контролируемом производстве гидроксипропилбетадекса и сульфобутилового эфира бетадекса натрия, уделяя особое внимание последовательности процесса, надежности от партии к партии и долгосрочной стабильности поставок. Структурированные методы управления качеством поддерживают технические, нормативные требования и требования клиентов к поставщикам.


Область применения и техническое сотрудничество

Основанные на механизмах включения и стабилизации циклодекстрина, HPBCD и SBECD применимы во многих технических областях, включая фармацевтические составы, специальные химические вещества, ветеринарные продукты и другие системы, требующие повышенной растворимости и стабильности. Компания Xi’an Deli Biochemical продолжает сотрудничать с партнерами посредством коммуникации, ориентированной на применение, и технического сотрудничества для поддержки растущих потребностей в рецептурах.


О компаниях биохимической промышленности Сианя Дели

Компания Xi’an Deli Biochemical Industry Companies, основанная в 1999 году, является специализированным производителем производных циклодекстрина, поставляющим гидроксипропилбетадекс (HPBCD) и сульфобутиловый эфир бетадекса натрия (SBECD) клиентам по всему миру. Благодаря давнему вниманию к единообразию продукции, четким спецификациям и практической технической поддержке, компания по-прежнему стремится предоставлять надежные решения на основе циклодекстрина.


Если хотите, я также могу:


  • Дальнейшая оптимизация для Google SEO (без снижения технического тона).
  • Сократите это до версии «Техническое обновление» на странице продукта.
  • Адаптируйте его для клиентов, ориентированных на нормативные требования и качество.


Просто скажите мне, где вы планируете его опубликовать.


Отправить запрос


icon
X
Мы используем файлы cookie, чтобы предложить вам лучший опыт просмотра, анализировать трафик сайта и персонализировать контент. Используя этот сайт, вы соглашаетесь на использование нами файлов cookie. политика конфиденциальности
Отклонять Принимать